NLineIntegrate[f,{x,y,…}∈curve]
関数 f[x,y,…]の curve 上の数値スカラー線積分を計算する.
NLineIntegrate[{p,q,…},{x,y,…}∈curve]
ベクトル関数{p[x,y,…],q[x,y,…],…}の数値ベクトル線積分を計算する.
NLineIntegrate
NLineIntegrate[f,{x,y,…}∈curve]
関数 f[x,y,…]の curve 上の数値スカラー線積分を計算する.
NLineIntegrate[{p,q,…},{x,y,…}∈curve]
ベクトル関数{p[x,y,…],q[x,y,…],…}の数値ベクトル線積分を計算する.
詳細とオプション
- 線積分は曲線積分または仕事積分としても知られている.
- スカラー線積分は,スカラー関数を曲線に沿って積分する.これは,通常,曲線の長さ,質量,電荷等の積分に使われる.
- ベクトル線積分は,ベクトル関数の接線の向きの曲線に沿った仕事量の計算に使われる.典型的なベクトル関数には力場,電場,流体速度場等が含まれる.
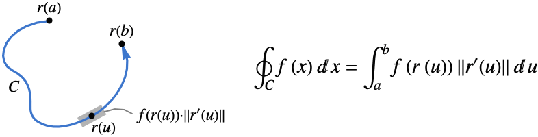
- 関数 f の curve
に沿ったスカラー線積分は以下で与えられる. - ただし,
はパラメトリック曲線の線分の測度値である. - スカラー線積分は curve のパラメータ化や方向には依存しない.任意の一次元RegionQオブジェクトを curve として使うことができる.
- 関数 F の曲線 curve
に沿ったベクトル線積分は以下で与えられる. - ただし,
はベクトル関数
の接線方向への投影であるので,接線方向の成分しか積分されない. - ベクトル線積分は,曲線のパラメータ化には依存しないが,曲線の向きには依存する.
- 曲線の方向は曲線上の接線ベクトル場
によって与えられる. - パラメトリック曲線ParametricRegion[{r1[u],…,rn[u]},…]については,接線ベクトル場
は ∂ur[u]であるとみなされる. - 次は,
における特殊曲線とその仮定される接線の方向である. -

Line[{p1,p2,…}] 方向は与えられる点の順に従う(例: p1からp2まで) 
HalfLine[{p1,p2}]
HalfLine[p,v]v 方向または p1から p2まで 
InfiniteLine[{p1,p2}]
InfiniteLine[p,v]v 方向または p1から p2まで 
Circle[p,r] 方向は反時計回り - 次は,
における特殊曲線とその仮定される接線の方向である. -

Line[{p1,p2,…}] 方向は与えられる点の順に従う(例: p1からp2まで) 
HalfLine[{p1,p2}]
HalfLine[p,v]v 方向または p1から p2まで 
InfiniteLine[{p1,p2}]
InfiniteLine[p,v]v 方向または p1から p2まで - 次は,
における特殊曲線とその仮定される接線の方向である. -

Line[{p1,p2,…}] 方向は与えられる点の順に従う 
HalfLine[{p1,p2}]
HalfLine[p,v]方向は p1からo p2まで 方向は v で与えられる 
InfiniteLine[{p1,p2}]
InfiniteLine[p,v]方向は p1からo p2まで 方向は v で与えられる - curve に沿った座標はVectorSymbolを使って指定できる. »
- 次は,使用可能なオプションである.
-
AccuracyGoal Infinity 目的確度の桁数 MaxPoints Automatic サンプル点の最大合計数 MaxRecursion Automatic 再帰的下位区分の最大数 Method Automatic 使用するメソッド MinRecursion 0 再帰的下位区分の最小数 PrecisionGoal Automatic 目標精度の桁数 WorkingPrecision MachinePrecision 内部計算精度
例題
すべて開く すべて閉じる例 (7)
VectorSymbolを使う:
スコープ (33)
基本的な用法 (4)
スカラー関数 (11)
ベクトル関数 (12)
オプション (8)
AccuracyGoal (1)
Method (1)
PrecisionGoal (1)
オプションPrecisionGoalは積分における相対許容度を設定する:
WorkingPrecision (2)
アプリケーション (27)
大学の微積分 (10)
長さ (3)
面積 (5)
力の仕事 (4)
古典的な定理 (3)
ベクトル場は,その線積分が経路上の値ではなく端点の値にのみ依存する場合は「保存的」である:
スカラー場の勾配はすべて保存的である.例えば,曲線上の
の線積分は以下のようになる:
グリーン(Green)の定理によると,閉じた曲線上のベクトル場
の線積分は以下のようになる:
これは,曲線に囲まれた領域における
の面積分と関連付けることができる.
は以下のように定義される:
ストークス(Stokes)の定理によると,三次元における閉じた線に沿ったベクトル場
の線積分は以下のようになる:
これは,曲線を境界として持つ任意の曲面状の
のCurlの面積分に等しい:
特性と関係 (5)
記号計算ができない場合はN[LineIntegrate[…]]を適用して数値解を得る:
質量の中心はRegionCentroidを使って求めることもできる:
-
平面上で原点を中心とし,単位線密度を持つ円形ワイヤの
軸の周りの慣性モーメントを求める:
答はMomentOfInertiaで計算することもできる:
同じ答はArcLengthを使って求めることもできる:
結果はRegionMeasureで求めることができる:
関連するガイド
-
▪
- ベクトル解析 ▪
- 記号的なベクトル,行列,配列
テキスト
Wolfram Research (2024), NLineIntegrate, Wolfram言語関数, https://reference.wolfram.com/language/ref/NLineIntegrate.html (2025年に更新).
CMS
Wolfram Language. 2024. "NLineIntegrate." Wolfram Language & System Documentation Center. Wolfram Research. Last Modified 2025. https://reference.wolfram.com/language/ref/NLineIntegrate.html.
APA
Wolfram Language. (2024). NLineIntegrate. Wolfram Language & System Documentation Center. Retrieved from https://reference.wolfram.com/language/ref/NLineIntegrate.html
BibTeX
@misc{reference.wolfram_2025_nlineintegrate, author="Wolfram Research", title="{NLineIntegrate}", year="2025", howpublished="\url{https://reference.wolfram.com/language/ref/NLineIntegrate.html}", note=[Accessed: 22-November-2025]}
BibLaTeX
@online{reference.wolfram_2025_nlineintegrate, organization={Wolfram Research}, title={NLineIntegrate}, year={2025}, url={https://reference.wolfram.com/language/ref/NLineIntegrate.html}, note=[Accessed: 22-November-2025]}