RadialAxisPlot[{y1,y2,…,yn}]
原点の周りに等間隔で置かれた放射軸上に yiが表示される放射軸のプロットを生成する.
RadialAxisPlot[{data1,data2,…}]
複数のデータ集合 dataiを軸上にプロットする.
RadialAxisPlot
RadialAxisPlot[{y1,y2,…,yn}]
原点の周りに等間隔で置かれた放射軸上に yiが表示される放射軸のプロットを生成する.
RadialAxisPlot[{data1,data2,…}]
複数のデータ集合 dataiを軸上にプロットする.
詳細とオプション
- RadialAxisPlotは,レーダープロット,スパイダーチャートあるいはスタープロットとしても知られている.
- RadialAxisPlotは多次元データの可視化に使われ,各次元をある軸にマッピングして一意的な形状を再生する.異なるデータ点の形を互いに比較することができる.
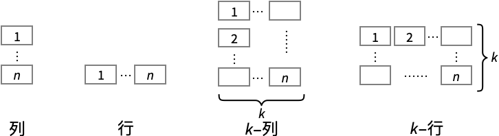
- データ値 yiは以下の形で与えることができる.
-
yi 実数値の数 Quantity[yi,unit] 単位が付いた数量 - 上記の形式ではない値 yiは欠落しているものとみなされて表示されない.
- dataiは次の形式と解釈を持つ.
-
<|"k1"y1,"k2"y2,…|> 値{y1,y2,…} {y1"lbl1",y2"lbl2",…}, {y1,y2,…}{"lbl1","lbl2",…} ラベル{lbl1,lbl2,…}付きの値{y1,y2,…} SparseArray 通常の配列としての値 TimeSeries,EventSeries,… 時系列データからの値 QuantityArray 大きさ WeightedData 重みなしの値 - RadialAxisPlot[Tabular[…]cspec]は,列指定 cspec を使って表オブジェクトから値を抽出し,これをプロットする.
- 次は,表データのプロットに使用可能な列指定 cspec の形式である.
-
{coly1,…,colyn} 各列 colyiをその軸上にプロットする - dataiには次のラッパー w が使える.
-
Annotation[datai,label] データの注釈を与える Button[datai,action] データがクリックされたときのアクションを定義する Callout[datai,label] データにコールアウトでラベルを付ける Callout[datai,label,pos] 相対位置 pos にコールアウトを置く EventHandler[datai,events] データの一般的なイベントハンドラを定義する Hyperlink[datai,uri] データをハイパーリンクにする Labeled[datai,label] データにラベルを付ける Labeled[datai,label,pos] 相対位置 pos にラベルを置く Legended[datai,label] データを凡例の中で識別する PopupWindow[datai,cont] データにポップアップウィンドウを付ける StatusArea[datai,label] マウスオーバーのときにステータスエリアに表示する Style[datai,styles] データを指定されたスタイルで表示する Tooltip[datai,label] データにツールチップを付ける - ラッパー w は複数レベルで適用することができる.
-
{…,w[yi],…} データの値 yiをラップする {…,w[{xi,yi}],…} 点{xi,yi}をラップする w[datai] データをラップする w[{data1,…}] dataiの集合をラップする w1[w2[…]] ネストしたラッパーを使う - Callout,Labeled,Placedには次の位置 pos を使うことができる.
-
Automatic 自動的に置かれたラベル Above, Below, Before, After 曲線周囲の位置 "Inside","Outside" 軸に沿った点と相対的な位置 {pos,epos} 曲線と相対的な位置 pos に置かれたラベルの中の epos - RadialAxisPlotにはGraphicsと同じオプションに以下の追加・変更を加えたものが使える. [全オプションのリスト]
-
Axes True 縦横比 AxesOrigin Automatic 軸をどこに置くか ColorFunction Automatic 曲線の彩色をどうするか ColorFunctionScaling True ColorFunctionの引数をスケールするかどうか Filling True 各線の下の塗潰し FillingStyle Automatic 塗潰しのスタイル GridLines Automatic 格子線を描くかどうか GridLinesStyle Automatic 格子線のスタイル Joined Automatic 点を繋ぐかどうか Method Automatic 使用するメソッド PerformanceGoal $PerformanceGoal パフォーマンスのどの面について最適化するか PlotLayout Automatic データの配置の仕方 PlotLegends None 線の凡例 PlotMarkers Automatic 各点を示すために使うマーカー PlotRange Automatic 含める値の範囲 PlotStyle Automatic 各線のスタイルを決定するグラフィックス指示子 PlotTheme $PlotTheme プロットの全体的なテーマ ScalingFunctions None 個々の座標のスケール方法 - 軸は正の y 軸から始まって時計周りに配置される.
- デフォルトで,すべての軸が同じプロット範囲を持つ.
- AxesAutomaticのときは,すべての軸のスケールとプロット範囲が同じなら最初の軸だけが表示される.軸に違いがある場合はすべての軸が表示される.
- デフォルト設定のPlotRangeAutomaticのときは,すべての軸のプロット範囲が同じになる.
- PlotRangeAllは各軸に異なるプロット範囲を使う.
- 各軸に適用されるAxes,Ticks,PlotRange等のオプションは,以下の形式でよい.
-
s 各軸に設定 s を使う {s1,…,sn} 軸ごとの設定で,設定 s1を最初の軸に使う等 {…,pats,…} パターン pat と一致する軸の位置に設定 s を使う - 形式{…,pats,…}の pat は任意のパターンでよい.軸の位置と一致する最初のパターンが使われる.軸の位置と一致するパターンがない場合はデフォルト値が使われる.
- ColorFunctionに渡される引数は,y1,y2,…,ynである.デフォルトで,色関数の引数は軸が0から1になるようにスケールされる.
- 次は,単一のプロットパネルで複数の点を表示する際のPlotLayoutの可能な設定である.
-

"Overlaid" すべてのデータを重ねて表示する 
"Stacked" データを積み重ねる 
"Percentile" データを積み重ねて正規化する - 次は,複数のプロットパネルで単一の点を表示する際のPlotLayoutの可能な設定である.
-
"Column" パネルの列で別々の曲線を使う "Row" パネルの行で別々の曲線を使う {"Column",k},{"Row",k} k 列(行)使う {"Column",UpTo[k]},{"Row",UpTo[k]} 最大で k 列(行)使う - ColorData["DefaultPlotColors"]は,PlotStyleで使われるデフォルトの色のシーケンスを与える.
全オプションのリスト
例題
すべて開く すべて閉じる例 (3)
スコープ (23)
一般的なデータ (6)
RadialAxisPlotは,原点を共有する軸の上に各次元を置くことで多次元データを可視化する:
自動PlotRangeはすべての軸を同じ範囲で表示する:
特殊データ (2)
データのラッパー (4)
PopupWindowを使って追加的なドリルダウン情報を与える:
Buttonを使って任意のアクションを起こすことができる:
ラベル付けと凡例 (6)
LabelingFunctionを使って各データ集合に別々のラベルを付ける:
LabelingFunctionに与えられたデータ集合の指標を使ってラベルを構築する:
Calloutを使ってラベルを加える:
PlotLegendsを使ってColorFunctionからの色を表す凡例の棒を加える:
Legendedを使って凡例を加える:
オプション (54)
AspectRatio (3)
Axes (4)
Filling (6)
ImageSize (7)
PlotRange (3)
アプリケーション (1)
RadialAxisPlotはスポーツ統計の可視化に適している.例として,2018–2019のシーズン全体のNBAプレーヤーのパフォーマンスを可視化する:
Manipulateを使って各プレーヤーが切り替えられるインターフェースを作り,RadialAxisPlotを使って彼らのパフォーマンスを平均と比較する:
特性と関係 (4)
RadialAxisPlotは多次元の点を複数の放射軸上にプロットする:
ListPolarPlotは複数の点を極座標軸上にプロットする:
ParallelAxisPlotは多次元の点を複数の平行軸上にプロットする:
RadialAxisPlotは複数の軸を使って単一の点を表示する:
AngularGaugeは複数の値を単一の軸上にプロットする:
PieChartは値を全体の一部として表示する:
おもしろい例題 (1)
RadialGradientFillingを使って高度にスタイル化された充填を作成する:
関連するガイド
-
▪
- データの可視化 ▪
- 高次元可視化 ▪
- GPU計算 ▪
- 表形式の可視化 ▪
- NVIDIAを使ったGPU計算 ▪
- Appleを使ったGPU計算
テキスト
Wolfram Research (2020), RadialAxisPlot, Wolfram言語関数, https://reference.wolfram.com/language/ref/RadialAxisPlot.html (2025年に更新).
CMS
Wolfram Language. 2020. "RadialAxisPlot." Wolfram Language & System Documentation Center. Wolfram Research. Last Modified 2025. https://reference.wolfram.com/language/ref/RadialAxisPlot.html.
APA
Wolfram Language. (2020). RadialAxisPlot. Wolfram Language & System Documentation Center. Retrieved from https://reference.wolfram.com/language/ref/RadialAxisPlot.html
BibTeX
@misc{reference.wolfram_2025_radialaxisplot, author="Wolfram Research", title="{RadialAxisPlot}", year="2025", howpublished="\url{https://reference.wolfram.com/language/ref/RadialAxisPlot.html}", note=[Accessed: 17-December-2025]}
BibLaTeX
@online{reference.wolfram_2025_radialaxisplot, organization={Wolfram Research}, title={RadialAxisPlot}, year={2025}, url={https://reference.wolfram.com/language/ref/RadialAxisPlot.html}, note=[Accessed: 17-December-2025]}